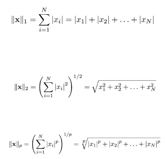
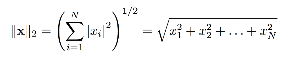
How To Calculate L2 Norm

Frobenius Norm Or Euclidean Norm Matrices Youtube


3 3 7 Linear Algebra Vector And Matrix Norms Youtube

Euclidean Distance And Normalization Of A Vector By Rohan Paul Medium

Euclidean Distance And Normalization Of A Vector By Rohan Paul Medium
Machine Learning Basics The Norms Datacamp

Euclidean Distance And Normalization Of A Vector By Rohan Paul Medium

Calculating Vector P Norms Linear Algebra For Data Science Iv By Harshit Tyagi Towards Data Science

Understand Frobenius Norm A Beginner Guide Deep Learning Tutorial

Lecture 13 L1 L Norm Problems And Linear Programming Ppt Video Online Download
Machine Learning Basics The Norms Datacamp

Simple Easy Way To Calculate The 2 Norm Of A Matrix Youtube

R Manhattan Euclidean Distance Calculations Into A Matrix Stack Overflow

Part 18 Norms Norm Is A Function That Returns By Avnish Linear Algebra Medium

How Can The Euclidean Distance Be Calculated With Numpy Stack Overflow

How To Write Norm Which Adjusts Its Size Tex Latex Stack Exchange

Why Norms Matters Machine Learning By Z Singer Towards Data Science

Linear Algebra 27 Norm Of A Vector Examples Youtube
Machine Learning Basics The Norms Datacamp

L0 Norm L1 Norm L2 Norm L Infinity Norm By Sara Iris Garcia Medium

Understand Matrix Norm A Beginner Introduction Deep Learning Tutorial