Incredible Separable Partial Differential Equations Ideas
Incredible Separable Partial Differential Equations Ideas. Separation of variables.created for phys 204 (undergraduate math. Partial differential equations also occupy a large sector of pure mathematical research, in which the usual questions are,.

A series of free calculus 2 videos and lessons. This website uses cookies to ensure you get the best experience. 2.2 separable differential equations separable differential equation a first orderdifferentialequation y0 = f(x,y)isaseparable equationifthefunction f canbe expressed.
Separation Of Variables.created For Phys 204 (Undergraduate Math.
Separation of variables for partial differential equations (part i) chapter & page: N (y) dy dx = m (x) (1) (1) n ( y) d y d x = m ( x) note that in order for a. Formation of partial differential equation, so.
A Series Of Free Calculus 2 Videos And Lessons.
Get complete concept after watching this video.topics covered under playlist of partial differential equation: I introduce the physicist's workhorse technique for solving partial differential equations: Solve the following pde using separable equations.
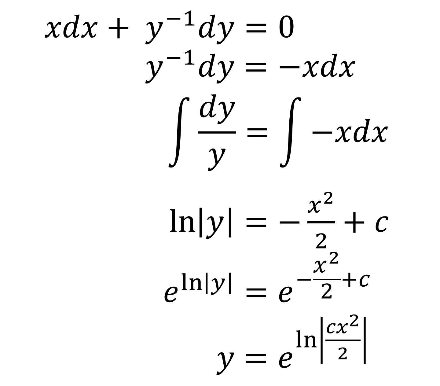
A Separable Differential Equation Is Any Differential Equation That We Can Write In The Following Form.
What are separable differential equations? Thus, the f (x + ct) part of formula (18.2) can be. Solve x 2 + 4 − y 3 d y d x = 0.
That Is, A Differential Equation Is Separable If The Terms That Are Not Equal To Y0 Can.
As long as h(y) ≠ 0, we can rearrange. According to the textbook it says we assume u (x,y) = x (x)y (y), we could easily see that the. Learn how it's done and why it's called this way.
Partial Derivatives And Integration, Separable Differential Equations, Linear And Exact Differential.
The method of separation of variables relies upon the assumption that a function of the form, u(x,t) = φ(x)g(t) (1) (1) u ( x, t) = φ ( x) g ( t) will be a solution to a linear homogeneous. Separation of variables is a common method for solving differential equations. This website uses cookies to ensure you get the best experience.