Symmetric Matrix Eigenvalue Decomposition
We give two different eigenvalue decompositions of the 2n X 2n real symmetric matrix 0 -S J. Now we could also use Eigen decomposition and write x as.

Eigen Decomposition And Singular Value Decomposition Based On
The spectral theorem implies that there is a change of variables which transforms A into a diagonal matrix.

Symmetric matrix eigenvalue decomposition. The QR algorithm is a standard method for computing all eigenvalues and eigenvectors of a matrix. A nal word about SVD for symmetric matrices. We can decompose any symmetric matrix with the symmetric eigenvalue decomposition SED where the matrix of is orthogonal that is and contains the eigenvectors of while the diagonal matrix contains the eigenvalues of.
This shows that the orthonormal linear transformation y Tx Mx preserves Euclidean distances. X 0 inner product with x shows that xHAx xHx xHx P n i1 jxij2 is real and positive and xHAx is real. For this case recall the Spectral Decomposition Theorem.
If symmetric is not specified isSymmetricx is used. Precisely we prove that M 1 is unitarily similar and 2 also orthogonally similar because M is real symmetric to the 2n X 2n diagonal matrix-D 0 0 0 0 0 0 DO 0 00 0 O D 0 00 0 0 0 -D 0 0 0 0 0 0 0 0 0 0 0 0 0 0 of its eigenvalues. The expression A UDUT of a symmetric matrix in terms of its eigenvalues and eigenvectors is referred to as the spectral decomposition of A.
And so y x. Therefore you could simply replace the inverse of the orthogonal matrix to a. If A2R n then there exists unitary matrix Qand diagonal matrix such that A Q QT.
Nthe singular values are precisely the positive parts of the eigenvalues of A ordered in decreasing order since the construction above gives 2 i to be the eigenvalues of A TA A2. X x U λ 1 2 z where λ is a diagonal matrix of eigenvalues and U is a matrix composed of the eigenvalues. Where rankA r V 2On eigenvectors eigenvalues.
2 Decomposition of Symmetric Matrices A matrix M is an orthonormal matrix if MT M1. Eigenvalue decomposition for symmetric matrices. If TRUE only the eigenvalues are computed and returned otherwise both eigenvalues and eigenvectors are returned.
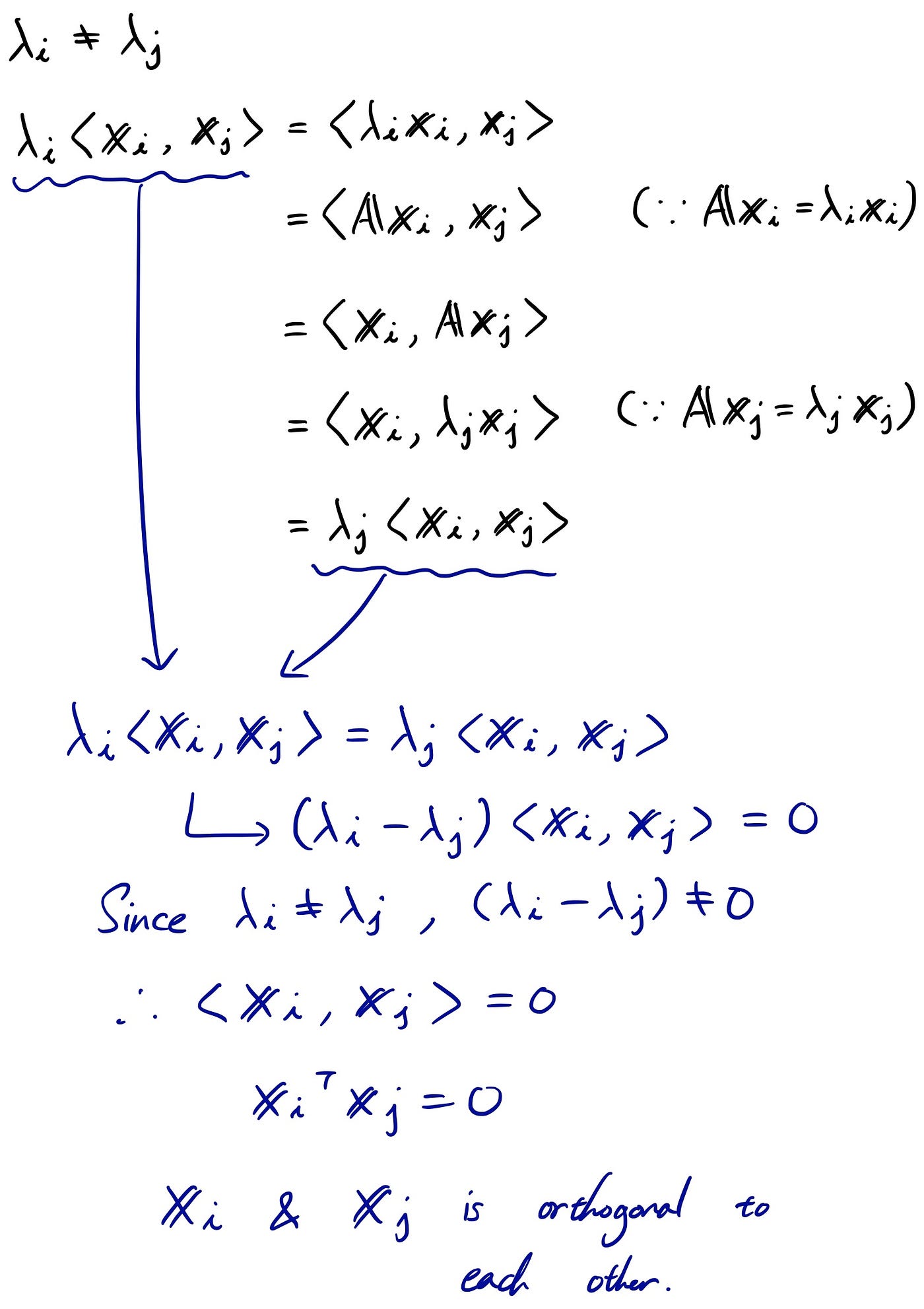
Eigenvalues of a symmetric matrix are real consider an eigenvalue and eigenvector x possibly complex. To show these two properties we need to considercomplex matrices of typeA2Cnn whereCis the set ofcomplex numberszxiywherepxandyare the realand imaginary part of zandi 1. If the matrix Ais symmetric hence square and has eigenvalues 1.
Before explaining this change of variables I will show why it is important. Theorem 1 Singular Value DecompositionSVD If matrix A 2 Rmn then there exist orthogo- nal matrices U u 1 u m 2 R mm V v 1 v n 2 R nn and diagonal matrix diag ¾ 1 ¾ p 2 R mn p min mn such that. If TRUE the matrix is assumed to be symmetric or Hermitian if complex and only its lower triangle diagonal included is used.
IN this sense SVD can be regarded as a. The proof is by induction on the size of the matrix. So we could also build a pdf of this.
All eigenvalues of a real symmetric matrix are real. Symmetric eigenvalue decomposition of A 2S2Rn A V V X r i1 iv i v i. Eigendecomposition when the matrix is symmetric The decomposed matrix with eigenvectors are now orthogonal matrix.
Note that if M is orthonormal and y Mx then y2 yTy xTMTMx xTM1Mx xTx x2. This submission contains functions for computing the eigenvalue decomposition of a symmetric matrix QDWHEIGM and the singular value decomposition QDWHSVDM by efficient and stable algorithms based on spectral divide-and-conquer. HttpsbitlyPavelPatreonhttpslemmaLA - Linear Algebra on LemmahttpbitlyITCYTNew - Dr.
Eigenvectors corresponding to distinct eigenvalues areorthogonal. Singular value decomposition of A 2Rm n A U V X r i1 iu i v i. Prove that without using induction A real symmetric matrix A can be decomposed as A Q T Λ Q where Q is an orthogonal matrix and Λ is a diagonal matrix with.
Grinfelds Tensor Calculus textbookhttpslemmaprep - C. The computed results tend to be more accurate than those given by MATLABs built-in functions EIGM and SVDM. In this note we focus on the real valued symmetric eigenvalue problem the case where A2R n.
A number ℜ is an eigenvalue of M if there exists a vector x 0. XHAx Xn i1 Xn j1 Aijxixj Xn i1 Aiijxij 2 2. HttpsbitlyPavelPatreonhttpslemmaLA - Linear Algebra on LemmahttpbitlyITCYTNew - Dr.
Grinfelds Tensor Calculus textbookhttpslemmaprep - C.

Consider The Following Symmetric Matrix A A 3 1 0 Chegg Com

Eigen Decomposition And Singular Value Decomposition Ppt Video Online Download

Visualization Of Singular Value Decomposition Of A Symmetric Matrix Mathematics Stack Exchange

Symmetric Matrix Decomposition With Orthonormal Basis Of Non Eigenvectors Mathematics Stack Exchange

Chapter 7 Symmetric Matrices And Quadratic Forms Flashcards Quizlet

Linear Algebra 101 Part 7 Eigendecomposition When Symmetric By Sho Nakagome Sho Jp Medium

A Symmetric Eigenvalue Decomposition Example In Under Three Minutes Youtube

Eigen Decomposition And Singular Value Decomposition Based On

Latecki L Thomas M N D Eigen Decomposition And Singular Value Decomposition Retrieved March 24 2017 From Http Www Mathematics Algebra Positivity

Find A Spectral Decomposition A Qlambdaq T Of The Matrix 2 2 2 1 Youtube

Eigen Decomposition And Singular Value Decomposition Based On

Chapter 4 The Eigen Decomposition Of A Symmetric Matrix Isn T Always Its Svd Issue 218 Mml Book Mml Book Github Io Github
The Singular Value Decomposition Guzinta Math

Linear Algebra 101 Part 7 Eigendecomposition When Symmetric By Sho Nakagome Sho Jp Medium
Https Orion Math Iastate Edu Tathagat Teaching 18 Math207 207notes Week16 Pdf

Linear Algebra 101 Part 7 Eigendecomposition When Symmetric By Sho Nakagome Sho Jp Medium

Matrix Decomposition And Its Application In Statistics Nishith

7 Symmetric Matrices And Quadratic Forms 7 1

Matrix Eigendecomposition Its Importance And The Applications By Amirsina Torfi Machine Learning Mindset Medium